■ 논리 회로
2진 정보(1,0)를 기반으로 AND, OR, NOT 논리 연산에 따라 동작을 수행하는 논리소자들로 구성된 전자회로
* 논리회로의 집합(CPU) -> 전기신호
1 : 높은 전압 (5V)
0 : 낮은 전압 (1.5V)
* 생산적인 논리회로 설계 방법
논리회로 간소화를 하여 가격 대비 성능 극대화시킨다.
(예시) 'A'가 입력되면 컴퓨터에서 일어나는 반응은 아래와 같다.

■ 논리 소자 (논리게이트)
논리회로를 구성하는 기본 소자.
| 게이트 | 기호 | 의미 | 진리표 | 논리식 |
| AND | ![]() |
입력신호가 모두 1일때 1을 출력한다. (논리곱, A∩B) |
![]() |
![]() |
| OR | ![]() |
입력신호 중 1개만 1이어도 출력 (논리합, A∪B) |
![]() |
![]() |
| NOT | ![]() |
입력된 정보를 반대로 변환하여 출력한다. (인버터, Inverter) |
![]() |
![]() |
| XOR | ![]() |
입력되는 값이 모두 같으면 0, 한 개라도 다르면 1 출력. (eXclusive-OR, 배타적 논리합) |
![]() |
![]() |
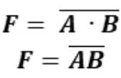
| NAND | ![]() |
NOT + AND | ![]() |
![]() |
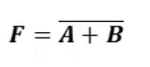
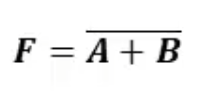
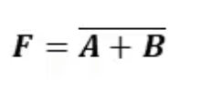
| NOR | ![]() |
NOT + OR | ![]() |
![]() |
| XNOR | ![]() |
NOT + XOR | ![]() |
![]() |
| BUFFER | ![]() |
입력된 정보를 그대로 출력한다. (NOT의 반대) * 사용 이유 (1)출력시간 지연 및 (2)감쇄신호를 회복하면서 입력하는 신호를 변경하고싶지 않을때 사용 한다. |
![]() |
![]() |
'자격증 및 시험 > 정보처리' 카테고리의 다른 글
| [논리회로] 종류 (0) | 2023.04.25 |
|---|---|
| [논리회로] 간소화 (0) | 2023.04.25 |
| [운영체제] 교착 상태, 기억장치 관리 전략 (1) | 2023.04.24 |
| [운영체제] 프로세스 스케줄링 (1) | 2023.04.21 |
| [운영체제] 개념 (1) | 2023.04.21 |























