■ 개념
대칭 행렬 (symmetric matrix)은 기존 행렬과 전치 행렬이 동일한 정사각 행렬이다.
(예, 수식)


[대칭 행렬의 성질]
| 종류 | 설명 및 검증 |
| 대칭 행렬 두 개의 덧셈과 뺄셈 = 대칭행렬 (A+B, A-B) |
대칭 행렬 간의 덧셈과 뺄셈은 대칭 행렬을 도출한다.![]() |
| 대칭 행렬 간 행렬 곱 != 대칭행렬 (AB, BA) |
대칭 행렬간의 행렬 곱은 무조건 대칭 행렬을 도출하지는 않는다.![]() |
| 대칭 행렬의 거듭 제곱 = 대칭행렬 (A^n) |
대칭 행렬의 거듭 제곱은 대칭 행렬을 도출한다.![]() |
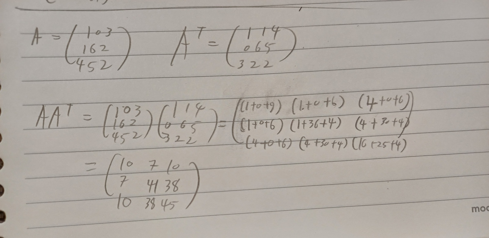
| 기존 행렬과 전치행렬의 행렬 곱 = 대칭행렬 (A t * A, A * A t) |
기존 행렬과 본인의 전치행렬 간의 행렬 곱은 대칭 행렬을 도출한다. ★ 선형대수를 공부하다보면 이 형태를 많이 보게 된다고한다. ![]() |
■ 파이썬
이전에 모듈화했던 MatrixOperator로 계산했다.
[대칭 행렬의 전치행렬]
대칭 행렬 A를 만들고 이를 전치행렬로 변환했다. 대칭 행렬의 전치 행렬은 대칭행렬이 나와야한다. 이를 확인해봤는데
A == At 는 True가 나온 것을 확인할 수 있다.

[대칭 행렬의 거듭제곱]

위 도출된 결과를 보기 쉽게 표시했다. 대칭행렬의 거듭제곱은, 기준행렬과 전치행렬이 동일한, 대칭행렬이 나온다는 것을 확인할 수 있다.

[기존 행렬과 전치 행렬의 곱]
위에서 대칭 행렬이 아닌 기존 행렬과 그 행렬의 전치 행렬 간의 행렬 곱은 대칭 행렬이 나온다고 했었다.
검증해보기로했다.




■ 넘파이
[대칭 행렬의 전치행렬]

넘파이 라이브러리를 활용해 대칭 행렬의 전치 행렬은 동일한 값이 나온다는 것을 확인할 수 있다.
[대칭 행렬의 거듭제곱]

[기존 행렬과 전치 행렬의 곱]
대칭 행렬이 아닌 A와 그의 전치행렬 At를 행렬 곱 한다면 대칭 행렬이 나오는 것을 넘파이를 활용한 행렬 곱에서도
확인할 수 있었다.

인자 순서를 바꿔도 동일하게 대칭 행렬을 도출하는 것을 확인할 수 있다.

'개발 (AI) > 선형대수' 카테고리의 다른 글
| [행렬] 단위 행렬 (0) | 2023.05.07 |
|---|---|
| [행렬] 대각 행렬 (0) | 2023.05.07 |
| [행렬] 전치행렬 (0) | 2023.05.06 |
| [행렬] 공부할 행렬 종류 (0) | 2023.05.06 |
| [행렬] 행렬의 여러 가지 계산, 대각합 (파이썬, 넘파이, 계산 검증) (0) | 2023.05.02 |



