■ 비판정법
일단 멱급수(Power series)의 정의를 알아야한다. 멱급수란 기하급수와 달리 항마다 계수가 다른 급수이다.

위 식에서 r은 공비(common ratio)이다.
비판정법은 멱급수의 극한 값을 구하여 수렴하는지 혹은 발산하는지 여부를 판단하는 판별식이다.
비판정법의 결과를 L이라고 했을 때 아래와 같이 멱급수를 판단할 수 있다.
| 기준 | 의미 |
| L < 1 | 급수는 언제나 수렴하도록 되어있다. |
| L > 1 | 급수는 언제나 발산한다. |
| L = 1 | 수렴을 할 수도, 발산할 수도 있다. |
아래 예시 속 멱급수를 비판정법으로 판단해보겠다.
[예시]





위 예시로 쓰인 멱함수는 수렴하기위한 조건이 L = |r|임을 알 수 있었다.
■ 테일러 급수, 매클로린 급수
무한번 미분이 가능한 함수를 생각해보자.
일반적인 멱급수의 표현을 빌려 표현해보자면 아래와 같은 모습일 것이다.


무한히 미분하다보면 위와 같은 모습을 띄게 될 것인데 함수에 a를 대입해주면 아래와 같이 맨 앞에 상수항을 제외하곤 나머지 항들이 소거될 것이다.

이를 일반화 해주면 아래와 같은 식이 도출된다.

하지만 우리가 일반적으로 궁금한건 멱급수의 계수인 an이다. 이를 위해 an을 좌변으로 이항 후 정리해봤다

이를 다시 아래 멱급수의 표현식에 대입해보면 아래와 같은 모습이 된다.


위 대입 후의 모습을 테일러 정리 혹은 테일러 급수 (Taylor series)라고 한다.
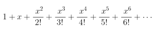
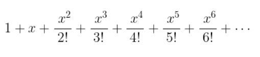
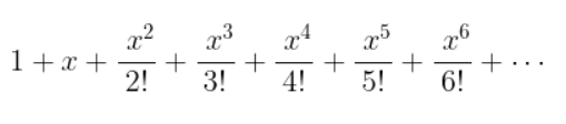
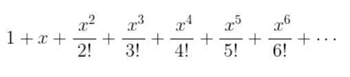
그리고 위 식에서 a에 0을 대입하면 아래와 같이 정리된다.

위 식을 매클로린 급수(Maclaurin series) 라고 하며, 이는 테일러 급수의 일부가 된다.
[정리]
| 종류 | 식 |
| 테일러 급수 (Taylor series) |
![]() 복잡하거나 우리가 알지 못하는 함수를 다항함수로 표현해준다. 이는 삼각함수나 지수함수 등을 다항함수로 나타내 근사시켜 근사치를 구할 수 있다는 장점이있다. |
| 매클로린 급수 (Macluarin series) |
![]() 위 테일러 급수에 (x-a)^n을 x^n으로 바꿈으로써 더 쉬운 형태로 만들어준다. 극한의 x가 0으로 향할 때만 사용할 수 있고, 나머지의 경우에는 위 테일러 급수 식으로 처리해야한다. |
위 두 가지 모두 무한급수이므로 무한 미분 가능한 함수에만 적용이 가능하다.
[사용 예시]

[위키백과]
검은 선은 사인 함수의 그래프이며, 색이 있는 선들은 테일러 급수를 각각 1차(빨강), 3차(주황), 5차(노랑), 7차(초록), 9차(파랑), 11차(남색), 13차(보라) 항까지 합한 것이다.
위와 같이 근사치를 얻을 수 있으므로 무거운 삼각함수를 그대로 가져다 쓰지 않고 테일러 급수를 활용해 근삿값을 가져와 사용하면 최적화에도 긍정적인 영향을 줄 것이다.
원하는 정밀도 만큼 급수의 항을 추가해주면 위와 같이 원함수인 sin함수(검은색)에 그래프가 가까워지는 것을 볼 수 있다.
■ 오일러 공식
오일러 공식은 아래와 같다.

이를 이해하기 위해 위에서 사용되는 자연지수함수, cos함수, sin 함수를 매클로린 급수 형식으로 전개해야한다.
[자연지수함수]


[sin 함수]


[cos 함수]


위 매클로린 급수들을 정리해보면 아래와 같다.
| 함수 | 급수 |
| 자연지수함수 | ![]() |
| sin 함수 | ![]() |
| cos 함수 | ![]() |
위 급수들을 보면 sin함수는 홀수항 부분들이 0이 되고, cos함수는 짝수항이 0이 된다. 이 둘을 서로 더하면 아래와 같이 나온다.

위 식을 가만히 보면 자연지수함수의 매클로린 급수와 매우 비슷하게 생겼다. 하지만 몇몇 부호가 다르기 때문에 두 급수의 부호를 동일시해줘야한다. 이때 허수 i를 사용한다

오일러 공식의 좌변을 구했다. 이제 여기서 위에서 구한 cosx+sinx의 매클로린 급수와 동일시 해줘야하는데
위 식과의 차이는 짝수항에 허수 단위 i가 들어간다는 것뿐이다.
짝수항은 sin함수가 담당하므로 sin함수에 i만 곱해주면 우리가 구하고자 하는 오일러 공식이 도출된다.

오일러 공식은 복잡한 회전 변환을 단순화시키기 때문에 4차원 공간의 회전을 단순화하여 3차원 공간의 회전식을 유도하게끔 해준다. 이는 사원수와 관계가 있고 다음 포스팅에서 응용해볼 예정이다.
[참고]
이득우의 게임 수학 | 이득우 - 교보문고
이득우의 게임 수학 | 39가지 실시간 렌더링 게임 프로그래밍 실습 예제를 하나씩 따라 해보며 독자가 직접 체득하는 흥미로운 게임 수학의 세계! 게임 개발자와 그래픽 아티스트들이 궁금해 했
product.kyobobook.co.kr
'Computer Graphics > Math' 카테고리의 다른 글
| [Math] 외적, 백페이스 컬링, 로드리게스 회전 (3) | 2023.12.18 |
|---|---|
| [Math] 3D 회전행렬 (1) | 2023.12.12 |
| [Math] 브레젠험 알고리즘 with Unity (0) | 2023.12.09 |
| [Math] 브레젠험 알고리즘 (Bresenham's algorithm) (0) | 2023.12.07 |
| [Math] 내적, 램버트 반사, 시야각 판별 (1) | 2023.12.06 |


